Chapter 2: Measures of Central Tendency
93
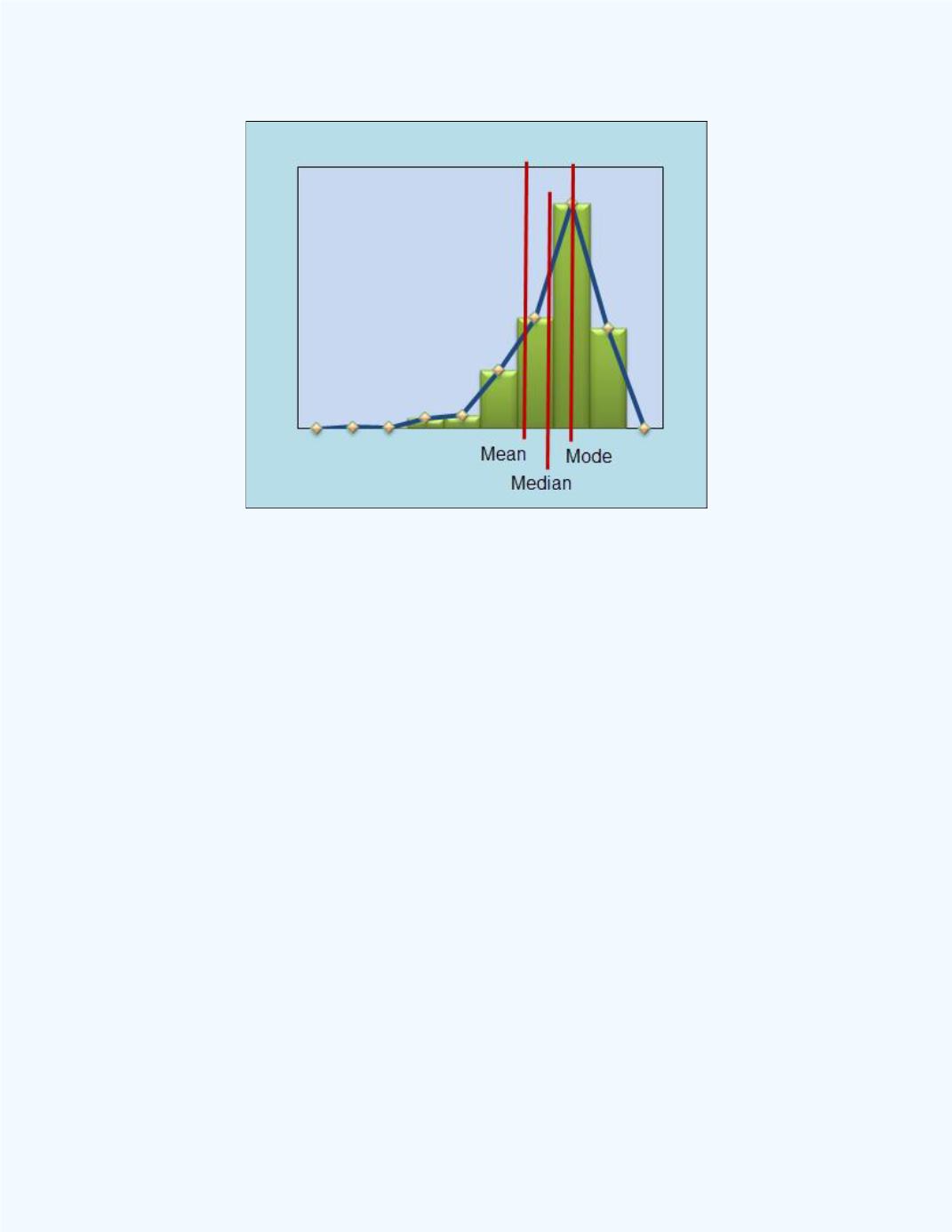
Figure 2-32:
Negatively Skewed Distribution
(Mean < Median < Mode)
The last class of shapes into which a distribution can be classified is the
class of symmetrical distribution.
Symmetrical Distribution
In a symmetrical distribution, the data values are evenly distributed on both
sides of the mean. Also, when the distribution is unimodal, the mean,
median, and mode are all equal to one another and are located at the center
of the distribution. That is, for a symmetric distribution: Mean = Median =
Mode. These properties are depicted in
Figure 2-31
.




