Chapter 14: Hypothesis Tests – Small Samples
647
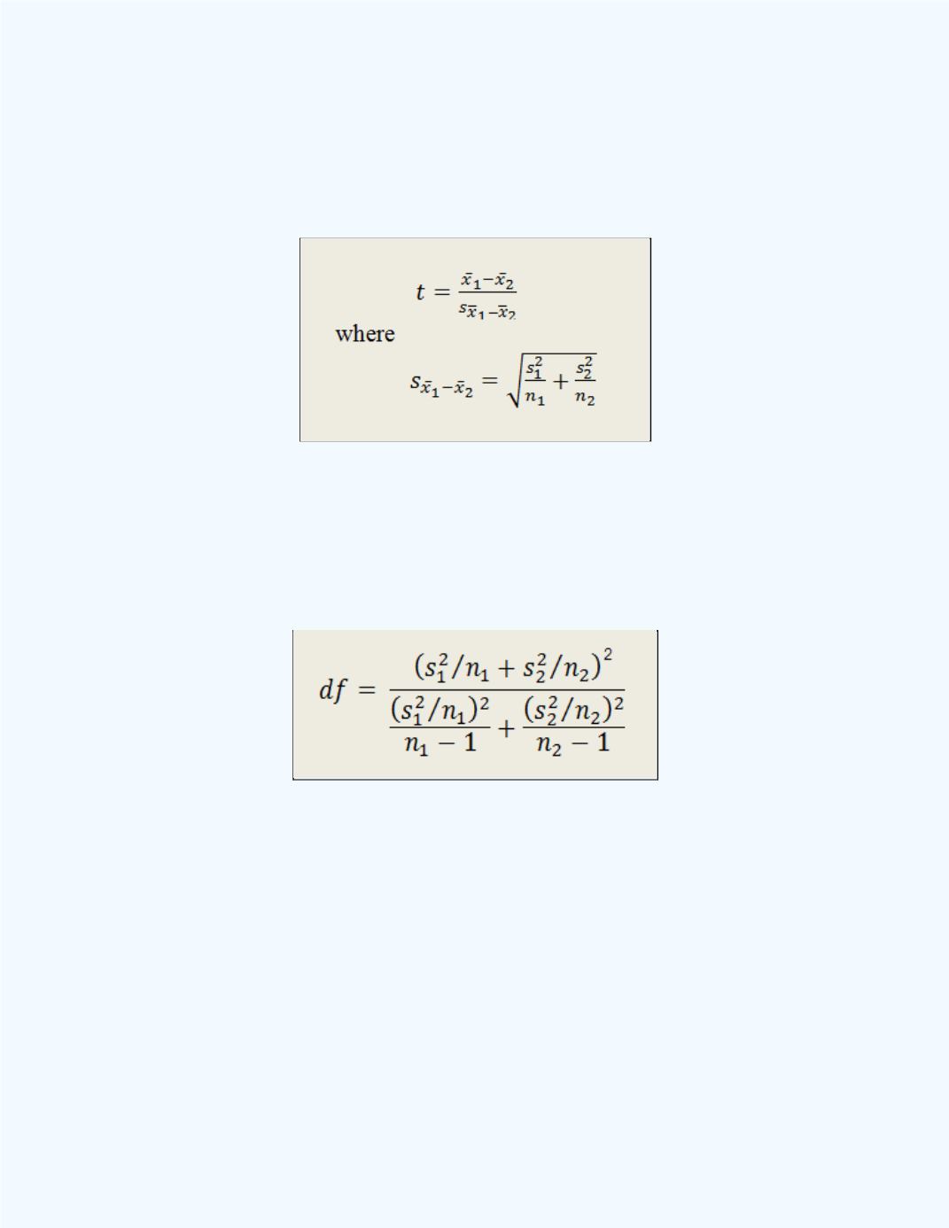
This test, known as the Welch’s
-test, is used when the two assumed normal
population variances are assumed to be different. The
test statistic used in
this case is given next. The subscripts refer to population 1 and
population 2.
where
̅
̅
is an unbiased estimator of the variance for the two
samples.
The distribution of the
test statistic will have the appropriate degrees of
freedom computed from the following formula
.
Note:
The computed degrees of freedom (
df
) will always be rounded down
to the nearest integer.
Example 14-10
: For the problem with the two different medications used
to determine the effectiveness of reducing a pain level five toothache in
Example 14-9
, supposewe cannot assume equal variance for the two
populations. Redo the test at the 5% level of significance under the
assumption that the variances are unknown and unequal.
Solution:
Even though we cannot assume that the variances are equal in
the problem we will still be able to use the
Small Sample Test for the




